佛山大学2024年广东各专业录取分统计,分数大涨
2025-09-13 01:51 来源:网络 点击:
佛山大学2024年广东各专业录取分统计,分数大涨
2024年佛山科学技术学院更名佛山大学
最低录取分数线大涨
学校现有本科 专业 57 个,涵盖工学、理学、管理学等十大学科门类,
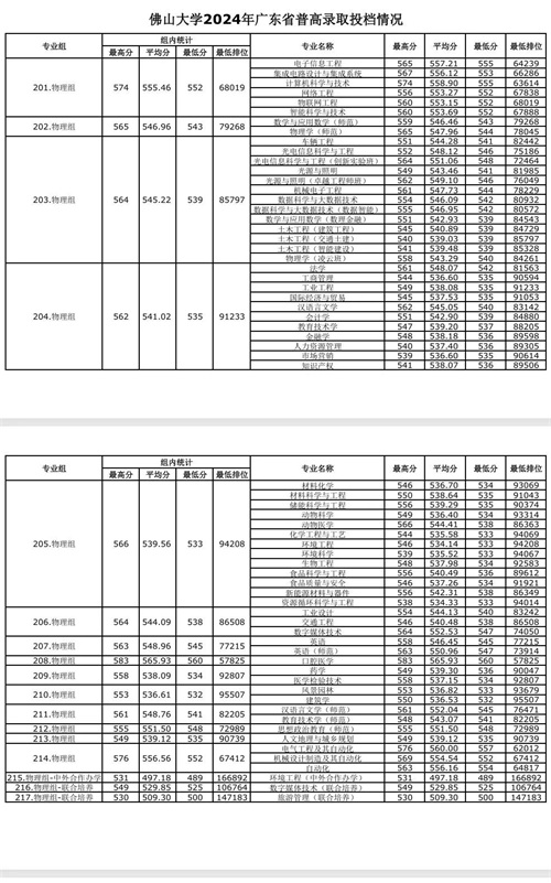
2024年物理类各专业录取分 物理类最低分532分,2023年最低分496分
反而热门专业口腔医学和计算机录取排位上涨几千位,算合理

2023年物理类专业录取分

2024年历史类各专业录取分,最低分排位上涨万位

2023历史类专业录取分


相关标签:
-
- 动漫改编新作《一骑当千》Android版上架
-
2025-09-13 01:49:07
-
- 徐翔笔记中的8条打板策略
-
2025-09-13 01:46:51
-
- 网信部门公开8起网络谣言典型案例
-
2025-09-13 01:44:36
-
- 谁的青春不迷茫男主角白敬亭整容了吗 白敬亭整容前后对
-
2025-09-13 01:42:20
-
- 女生宿舍开学必备神器提升精致感
-
2025-09-13 01:40:04
-
- 美国有线电视新闻网 CNN
-
2025-09-13 01:37:49
-
- 今日头条新闻
-
2025-09-13 01:35:33
-
- 街头风朋克发型 引爆夏日新时尚
-
2025-09-13 01:33:17
-
- 几则娱乐新闻
-
2025-09-13 01:31:02
-
- 张嘉译、李小冉《美好生活》上演“错位”爱情
-
2025-09-13 01:28:46
-
- 全国各省结婚彩礼排行榜。
-
2025-09-12 01:29:08
-
- 曲终人散!罗永浩《创业故事》演讲完整视频
-
2025-09-12 01:26:51
-
- 曝三星 24 系列和魅族 21 系列都有 2 亿主摄 或明年 1 月发
-
2025-09-12 01:24:35
-
- 青岛市政府搬迁红岛还要多久?
-
2025-09-12 01:22:18
-
- 台湾的“槟榔西施”很常见吗?
-
2025-09-12 01:20:01
-
- 四川高校--四川建筑职业技术学院
-
2025-09-12 01:17:45
-
- 邮票中的鲁迅
-
2025-09-12 01:15:28
-
- 纳格尔斯曼成为德国男足国家队新任主教练
-
2025-09-12 01:13:11
-
- 吴彦祖时隔4年再回香港晒自拍 表示迫不及待想回来拍电影
-
2025-09-12 01:10:55
-
- 马伊琍与文章一家四口
-
2025-09-12 01:08:38



女生对你透露感情史是什么意思?该怎么应对
乔任梁被吊起来的照片(乔任梁被吊着的图片)
4本都市YY种马文,萝莉控御姐控应有尽有,每一本后宫至少30起步
《古惑仔》洪兴14位老大,你最多记得10个,后面4个你一定不记得
呼兰大侠就是杨中山呼兰大侠案真实情况
俞敏洪妻子照片(俞敏洪的婚史)
收音机十大名牌(收音机十大名牌第一名是谁)
20款棒针编织帽子,非常好看又实用,织女们收藏!附10款图样
杨子父亲(杨子父亲最新消息)
3本妖艳女主撩清冷禁欲男主文:《欢喜债》撩人小妖精x高冷禁欲男